Κατανομή ανακοινωθέντων εγχώριων κρουσμάτων: Από το σύνολο των 4.309 νέων κρουσμάτων του νέου ιού στη χώρα 33 είναι εισαγόμενα εκ των οποίων 30 εντοπίστηκαν κατόπιν ελέγχων στις πύλες εισόδου της χώρας.
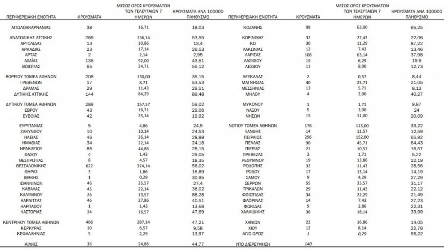
- Η κατανομή των 4.276 νέων εγχώριων κρουσμάτων ανά Περιφερειακή Ενότητα παρουσιάζεται στον κατωτέρω πίνακα.








Σχετικά Άρθρα
Αγρίνιο: Ο νεαρός Άκης Καραχρήστος έχασε τη ζωή του στον Κόμβο Μεγάλης Χώρας
Τραγωδία στο Αγρίνιο: Κλινικά νεκρή η 17χρονη, αδερφή του 21χρονου που σκοτώθηκε στο τροχαίο
Αγρίνιο: Συνελήφθη ο 37χρονος για το θανατηφόρο τροχαίο στον Κόμβο της Μεγάλης Χώρας